Engineering Mathematics
Calculus
Practice questions from Calculus.
7
Total0
Attempted0
Correct0
IncorrectLet . The rate of change of the real valued function,
at the origin in the direction of the point is __________ (round off to the nearest integer).
Unity vector directed from to ,
Rate of change of at in direction of point
=0 (round off to Nearest Integer).
Consider a vector , where represent unit vectors along the coordinate axes respectively. The directional derivative of the function at the point in the direction of is
Gradient of f is given by,
At ,
At,
Unit Vector
Let be a real-valued function whose second derivative is positive for . Which of the following statements is/are always true?
This means the f’(t) is a monotonically increasing function.
Hence, f’(t) can be zero at most once and hence there can only be at most one local minima.
Since, double derivative is always positive so we cannot comment on local maxima.
Consider the function for , where denotes the maximum of and . Which of the following statements is/are true?
The graph of f(t) is as shown below,
The derivative of f(t) is given by
exists and is continuous.
Consider the following equation in a 2-D real-space.
Which of the following statement(s) is/are true.
(a) if p = 2
Equation
This equation represents a circle of radius = 1
(b) if p → ∞ then x1 & x2 ≤ 1 else if any of these values is > 1 then or so sum cannot be 1
If |x1| < 1 ∴ |x2| = 1 for sum to be 1
If |x2| < 1 ∴ |x1| = 1 for sum to be 1
The shape looks like as shown below,
(c) if then non-zero values of &
Sum = 2
Hence if x1 ≠ 0 x2 must be zero & vice versa so curve looks like as shown below,
No closed curve exists & area = 0
(d) if P = 1, equation becomes |x1| + |x2| = 1
Curve looks like as shown below
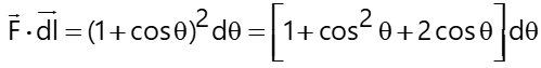
The closed curve shown in the figure is described by , where ;
. The magnitude of the line integral of the vector field around the closed curve is __________ (Round off to 2 decimal places).
x = r cosθ dx = -r sinθdθ
y = r sin θ dy = r cos θ dθ
on closed curve
A quadratic function of two variables is given as
The magnitude of the maximum rate of change of the function at the point is ________ (Round off to the nearest integer).
Maximum rate of change is given by Gradient
As (1, 1),


























































































