Control Systems
Transfer Function
Practice questions from Transfer Function.
2
Total0
Attempted0
Correct0
IncorrectConsider a system represented by the block diagram shown below. Which of the following signal flow graphs represent(s) this system? Choose the correct option(s).
Option (A):
Option (B):
Option (C):
Option (D):
Hence, option (B) is correct.
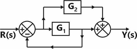
In the following block diagram, and are two inputs. The output is expressed as
. and are given by
Given, block diagram,
Considering first R(s) only so making D(s) =0, then Y(s) is
So we get as follows
So option (a,d) will be one of the correction answer.
Now considering only making R(s)=0, then is
So we get as follows
Hence, and both are equal.
So correct option is (a)















































